Laplace
foi um matemático, físico e
astrônomo francês.Foi recomendado por d’Alembert para a escola militar.
Em 1806, foi feito Conde por Napoleão e, em 1817, com a abdicação de Napoleão e sua aproximação aos Bourbons, quando da restauração destes ao trono da França, foi elevado a Marquês.
Dentre outras várias contribuições, baseado na Teoria do calórico, proposta por Lavoisier em 1783, como vimos na aula Lavoisier e a Revolução Química, Laplace introduziu uma correção ao cálculo de Newton para a previsão teórica da velocidade do som nos gases que forneceu um valor que se manteve por um século!
Laplace dedicou-se à Astronomia Matemática.
Sua obra Mécanique celeste (Mecânica Celeste) não só é uma tradução para a linguagem do Cálculo do Principia de Newton (geométrico), como o estende em vários pontos, embora conte com várias 'apropriações' de pesquisadores menores.
Considerava-se o melhor matemático da França e era tolerado pelos seus colegas porque, afinal, era mesmo!
Apesar disso, considerava a Matemática como uma mera ferramenta.
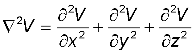
Laplace desenvolveu o operador Laplaciano

que aparece em várias modelagens de sistemas físicos em forma de equações diferenciais parciais, como, por exemplo, na equação do potencial, conceito que ele apropriou de Lagrange.

Também desenvolveu a transformada de Laplace que, entre outras coisas, transformando derivadas e integrais em divisões e multiplicações, facilita muito a resolução de equações diferenciais.

Em 1812, Laplace publicou seu Théorie analytique des probabilités (Teoria analítica das probabilidades), onde estende seu estudo anterior sobre o método de estimar a proporção do número de casos favoráveis, comparado ao número total de casos possíveis, obtendo uma distribuição normal de probabilidades, a chamada distribuição gaussiana, inicialmente sugerida por Gauss (vide adiante), e à qual Laplace deu várias contribuições, tais como calcular a sua constante de normalização e provar o Teorema do limite central, que lhe enfatiza a importância teórica.
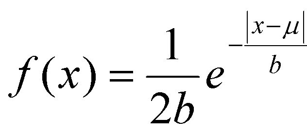
Também desenvolveu a Distribuição de Laplace, semelhante à distribuição gaussiana, mas definida em termos da diferença absoluta da média, em vez do quadrado da diferença, como na gaussiana:

Esse trabalho também inclui o bem conhecido método dos mínimos quadrados, desenvolvido independentemente por Gauss (vide adiante), utilizado para conseguir o melhor ajustamento possível entre um conjunto de dados observados com seus valores esperados.
Laplace 'provou' a estabilidade do sistema solar como um sistema de vários corpos rígidos movendo-se no vácuo sob interação gravitacional.
É famoso seu diálogo com Napoleão sobre o Mécanique celeste:
Napoleão: "Como escreveu tudo isto sem mencionar o Criador?"
Laplace: "Eu não precisei dessa hipótese!
ao que Lagrange, presente, retrucou: "Mas ela explica muita coisa!"
e Laplace concluiu: "Sim, Majestade, mas não permite previsões! Como um estudioso, eu devo fornecer trabalhos que permitam predições"
Com isso, Laplace definiu a ciência como uma ferramenta de predição.
Mais ainda, concebeu o
Demônio de Laplace
definido da seguinte forma:"Um intelecto que, em dado momento, conhecesse todas as forças que dirigem a natureza e todas as posições de todos os itens dos quais a natureza é composta, se este intelecto também fosse vasto o suficiente para analisar essas informações, compreenderia numa única fórmula os movimentos dos maiores corpos do universo e os do menor átomo; para tal intelecto nada seria incerto e o futuro, assim como o passado, estariam presentes perante seus olhos." (Essai philosophique sur les probabilités, Laplace)
Este é considerado um pré-determinismo, em que, ao contrário da Teleologia, a causa determina completamente o efeito, onde a determinação é colocada no passado, numa cadeia causal totalmente definida pelas condições iniciais do Universo.
Existe
até um game RPG de console chamado Laplace no Ma
inspirado nesse conceito.No entanto, a estabilidade do sistema solar, 'provada' por Laplace foi tema de uma competição matemática proposta em 1887, pelo Rei Oscar II, da Suécia, e foi vencida por Poincaré (vide abaixo)
Até essa época, utilizava-se indiscriminadamente a Teoria das Perturbações, que procura a solução de um problema a partir da solução conhecida de outro problema que está 'próximo' ao outro, partindo do pressuposto que pequenas diferenças nas condições iniciais levarão a pequenas diferenças no resultado final. Isto é, a partir de estados iniciais próximos, o sistema sempre seguirá aproximadamente a mesma sequência de estados futuros.
Poincaré foi um
matemático,
físico e filósofo da ciência
francês.Poincaré demonstrou, em 1890, que a Teoria das Perturbações não se aplicava para sistemas desse tipo e que, ao contrário, pequenas perturbações no estado inicial, tais como um ligeira mudança na posição inicial do corpo, levariam a estados finais radicalmente diferentes, tornando impossível predizer a evolução e o estado final do sitema, antecipando a Teoria do Caos.
Isto é, o sistema solar é um sistema caótico!
No entanto, Poincaré não aceitava a proposta de uma geometria não euclidiana, como proposta por Gauss e Bolyai (vide abaixo).
Foi chamado de 'o príncipe dos matemáticos' e muitos o consideram o maior gênio da história da Matemática.
Assombrou todos com sua enorme inteligência matemática, havendo muitas histórias de sua infância.
Na talvez mais famosa delas, um professor, para manter a turma ocupada enquanto fazia outro trabalho, mandou-os somar todos os inteiros de 1 a 100. Mal havia enunciado o problema e Gauss, com dez anos, declarou o ter resolvido. Irritado, o professor, preparou-se para castigá-lo quando verificou que Gauss, em vez de realizar a soma, havia demonstrado a soma da progressão aritmética:

obtendo em instantes o resultado correto 5050.
Segundo a lenda, o professor, impressionado, custeou seus livros escolares dali para a frente e apresentou-o a pessoas influentes da cidade, até ser apresentado ao Duque de Braunschweig-Wolfenbüttel, o qual, tomou a si os custos de seus estudos e subsistência, enviando-o ao Collegium Carolinum, hoje Braunschweig University of Technology (Universidade de Tecnologia de Braunscweig), e, depois, à Universidade de Göttingen, por onde passaram grandes nomes alemães das ciências, tais como Born, Debye, Heisenberg, Pauli, Nernst, etc.
Aos 21 anos, completou sua obra magna Disquisitiones Arithmeticae (Pesquisas com Números) que consolidou a Teoria dos Números como disciplina e deu-lhe a forma que tem até hoje.

Gauss, reconhecido, dedicou-o ao Duque de Braunschweig-Wolfenbüttel, Sereníssimo Pricipi ac Domino Carolo Guiliermo Ferdinando, já que ele era, também, príncipe-soberano do Sacro Império Romano-Germânico.
Em 1796, Gauss propos a conjectura, posteriormente demonstrada como Teorema do Número Primo, provado exatamente um século depois por Hadamard e por de la Vallée Poussin.
Um enunciado simples desse teorema diz que a Função de contagem de números primos π(n) tende assintoticamente a nln(n) quando n tende a infinito.

ou seja, o enésimo número primo pn se aproxima assintoticamente de nln(n) quando n tende a infinito.
O gráfico abaixo compara a Função de contagem de números primos π(n) com nln(n).

Em 1809, Gauss publicou sua monografia Theoria motus corporum coelestium in sectionibus conicis solem ambientium (Teoria sobre o movimento de corpos celestes em torno do Sol em seções cônicas) onde, entre outras coisas, apresenta o bem conhecido método dos mínimos quadrados, desenvolvido independentemente por Legendre, que o publicou em 1805, e demonstrado por Laplace em 1806, como visto acima, e que Gauss alegava ter inventado em 1795.
Nesse trabalho, apresenta, também, a famosa distribuição normal, também chamada de distribuição gaussiana, assemelhada à distribuição de Laplace (vista acima),


Gauss também declarou ter descoberto a possibilidade de geometrias não-euclidianas, isto é, que não atendem ao 5º postulado de Euclides, também chamado de postulado das paralelas. No entanto, nunca publicou essa descoberta, só a mencionando quando o matemático húngaro János Bolyai a publicou em 1832.

Como vimos na aula Realidade e Ciência, Gauss tentou verificar astronomicamente um teorema de geometria não-euclidiana.
"ele perguntava-se se um triângulo assinalado nas estrelas e por conseguinte de uma enorme superfície, manifestaria a diminuição de superfície apontada pela geometria lobatchewskiana [uma das alternativas à geometria euclidiana]." (BACHELARD, O Novo Espírito Científico).

No entanto, o também grande Poincaré
"[…] não admitia o caráter crucial de uma tal experiência. Se ela resultasse, dizia ele, decidir-se-ia desde logo que o raio luminoso sofre uma ação física perturbadora e que já não se propaga em linha reta. Em todo o caso, salvar-se-ia a geometria euclidiana." (BACHELARD, O Novo Espírito Científico)
Assim,
"Depois de Poincaré demonstrar a equivalência lógica das várias geometrias, afirmou que a geometria de Euclides continuaria a ser sempre a mais cômoda e que em caso de conflito desta geometria e a experiência física se deveria preferir sempre modificar a teoria física em vez de mudar a geometria elementar." (BACHELARD, O Novo Espírito Científico)
Ou seja, Poincaré preferia alterar a evidência experimental, e consequentemente a teoria, para manter a realidade de uma descrição euclidiana, "mais cômoda" para ele. Isto é, ele não aceitava que a Realidade fosse diferente de sua convicção!
Gauss era imensamente produtivo, mas altamente perfeccionista, preferindo esperar até que seu trabalho estivesse completo e acima de qualquer crítica. Com isso, no entanto, muitas descobertas suas ficaram ocultas nas páginas de seus diários por décadas.
O historiador Eric Temple Bell estimou que se Gauss tivesse publicado seus resultados à medida que os ia produzindo, a Matemática estaria hoje pelo menos cinquenta anos adiantada.
Voltar à Parte Anterior
Voltar a Minhas Aulas.
Voltar ao começo desta página
Voltar à página principal de Física Interessante