Como dito antes, Euler foi discípulo e amigo de Johann Bernoulli que interveio com seu pai para que estudasse Matemática em vez de para pastor.
Euler publicou mais artigos do que qualquer
matemático na História.
Laplace, que veremos adiante, dizia, sobre a influência de Euler na Matemática:
Leiam Euler, leiam Euler, ele é o mestre de todos nós.
Euler realizou importantes descobertas do Cálculo à Topologia, bem como Mecânica, Óptica e Astronomia.
Euler determinou com grande precisão a órbita de cometas e outros astros, esclareceu a natureza dos cometas, calculou a paralaxe do Sol, contribuiu para o desenvolvimento de tabelas de longitude precisas.
Em 1726, obteve seu doutorado com uma dissertação sobre a propagação do som, mas, tal como Daniel Bernoulli, não conseguiu vaga na Universidade da Basiléia.
Em 1727, tirou segundo lugar na competição anual do Problema da Academia de Ciências de Paris, desta vez sobre a melhor maneira de dispor os mastros num navio. Posteriormente, Euler ganhou 12 vezes essa competição ao longo da vida.
Tal como Daniel Bernoulli (visto antes), Euler foi para a Rússia, onde ocupou a cátedra de Fisiologia do irmão de Daniel Bernoulli na Academia Imperial Russa de Ciências de São Petersburgo.
Quando Daniel Bernoulli cansou-se da hostilidade na Rússia, deixou sua cátedra de Matemática para Euler.
Posteriormente, Euler mudou-se para a Academia de Berlim, a convite de Frederico da Prússia, mas
Euler propôs, independentemente do Princípio da Mínima Ação de Maupertuis, o Princípio da Mínima Ação.
A diferença principal é que a grandeza física ação é definida como uma integral espacial, ao longo do percurso do ponto A ao ponto B, em vez de uma integral temporal, como na proposição de Maupertuis:

Curiosamente, quando houve uma disputa de prioridade de que o princípio teria sido inicialmente proposto por Leibniz, Euler insurgiu-se como defensor da prioridade de Maupertius, sem nunca a ter reclamado para si. Na verdade, segundo Martins (2013), Euler, estrangeiro, apanhado no redemoinho político da corte, preferiu evitar a polêmica e arriscar seu salário da Academia, de que era dependente.
Euler desenvolveu esse princípio na forma de uma grandeza que ele denominou 'esforço', envolvendo a energia potencial que, em Estática, implica que um sistema de corpos em repouso adotará uma configuração que minimize a energia potencial total.

Desta forma, a versão de Euler do princípio poderia ser denominado Princípio do Mínimo Esforço!
Euler introduziu a maior parte da notação e nomenclatura matemática atual:
Euler, tal como Daniel Bernoulli, era oponente ao Monadismo de Leibniz.
Conta-se que, certa vez, perguntou para Diderot, que era ateísta,
“(a+bn)/n=x e, portanto, Deus existe”
Segundo a lenda, Diderot, embaraçado, deixou a corte russa.
Na verdade, porém, Diderot era bom matemático.
Cristão devoto, e literalista da Bíblia e combatente contra os ateístas, Euler é comemorado no Calendário Luterano dos Santos em 24 de maio, juntamente com Copérnico.
Lagrange foi um
matemático e
astrônomo ítalo-francês.Lagrange é considerado o maior matemático do séc. 18.
O imperador Napoleão Bonaparte fez dele Senador e Conde Lagrange e Grande Oficial da Legião de Honra.
De 1772 a 1785 criou toda a área das equações diferenciais parciais, equações que surgem naturalmente em problemas de Física Matemática, Física e Engenharia, descrevendo fenômenos físicos cujo comportamento depende da posição, tais como Eletrostática, Eletrodinâmica, Eletromagnetismo, Dinâmica dos fluidos, difusão do calor, propagação de ondas.
Lagrange aplicou o cálculo diferencial à teoria das probabilidades.
Lagrange estudou o problema dos três corpos para o sistema Terra, Sol e Lua sob atração gravitacional mútua e o movimento dos satélites de Júpiter. Pela solução deste problema recebeu o Grande Prémio da Academia Francesa de Ciências, aos vinte e oito anos.
Nesse estudo, em 1772, encontrou os hoje denominados pontos de Lagrange, soluções especiais para o problema de três corpos.

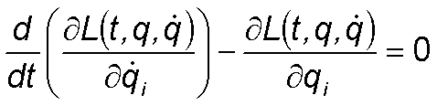
Em 1760, criou o Cálculo das Variações. Em seu Méchanique Analytique (Mecânica Analítica) de 1788, Lagrange derivou as equações gerais de movimento dos corpos. Um século depois, Hamilton aplicou princípios variacionais do tipo do Princípio do Menor Tempo e do Princípio da Mínima Ação, vistos anteriormente, obtendo as Equações de Euler-Lagrange na forma como as conhecemos hoje:

Ao contrário do Principia de Newton, fortemente geométrico, Lagrange, muito mais analista do que geômetra, adverte na introdução do seu Méchanique Analytique: "Nenhum desenho será visto neste trabalho".
Também nessa obra, declara que
"a ciência da mecânica pode ser considerada como a geometria de um espaço com quatro dimensões – três coordenadas cartesianas e um tempo-coordenada, suficientes para localizar uma partícula móvel tanto no espaço quanto no tempo".
Voltar à Parte Anterior
Voltar a Minhas Aulas.
Voltar ao começo desta página
Voltar à página principal de Física Interessante