Então, você quer que seu artigo seja lido e citado? Muito citado? Que cause impacto na comunidade científica?
Mas há como avaliar o impacto de um trabalho?
Atualmente, são utilizados dois índices:
É importante ter em conta que, embora agências de fomento de pesquisa, tais como o CNPq, após muitas críticas, terem procurado adotar critérios mais específicos e menos 'cientométricos' para conceder suas bolsas de produtividade em pesquisa, isso não impede que pareceristas individuais se deixem seduzir por fatores de biobliométricos maiores.
O Fator de Impacto (FI) foi criado por Eugene Garfield. Esse termo deriva do parâmetro de impacto da Física.

O FI de um dado periódico, em um certo ano, é calculado como o número médio de citações naquele ano dos artigos que foram publicados durante o biênio anterior. Assim, por exemplo, se,
seu fator de impacto em 2012 será
Note que o FI de um ano só pode ser calculado a partir do início do ano seguinte, quando todas as citações daquele ano podem ser computadas.
Mais importante ainda, note que, como se trata de uma média, um artigo extremamente citado vai puxar para cima o FI de todos os artigos publicados naquele periódico naquele ano!
Garfield teve a ideia do cálculo do Fator de Impacto a partir de uma conversa com o sociólogo da ciência Robert K. Merton, em 1962, que expressou sua visão de que "as citações são a moeda pela qual os cientistas pagam seus preceptores cientistas" (FIGÀ-TALAMANCA, 2007).
Segundo Figà‑Talamanca (2007), "Garfield teve a notável habilidade de construir um negócio muito lucrativo a partir do registro de citações."
De fato, desde 1972, o Institute for Scientific Information (ISI), fundado por ele, calcula anualmente os FI para os periódicos indexados e, depois, os publica no Journal of Citation Reports (JCR), também publicado pelo ISI, e vendido principalmente às editoras comerciais de periódicos, como ferramenta de marketing, as quais costumavam, depois, ostentar os altos valores de FI nas capas das suas publicações, como forma de prestígio!

Em 1992, o ISI foi comprado pela Thomson Reuters e mudou o nome para Thomsom ISI. Posteriomente, mudou novamente para Web of Knowledge.
Os números são impressionantes (Web of Knowledge, s.d.):
Figà‑Talamanca (2007) considera Garfield "um mestre do marketing de seus produtos da ISI, cujas virtudes são exaltadas em textos com a aparência de ‘artigos científicos’ da nova ciência da cientometria ('scientometrics')".
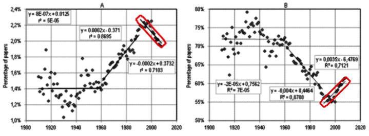
No entanto, como apontam Lozano, Lariviere e Gingras (2012) (vide figura abaixo), desde 1990, com o advento da era digital, a força da relação entre Fator de Impacto e o número de citações dos artigos vem decaindo!

Pior ainda, segundo Lozano, Lariviere e Gingras (2012), desde 1990, a proporção de artigos altamente citados vindo de periódicos altamente citados vem caindo, ao mesmo tempo em que os artigos mais citados cada vez menos vêm periódicos altamente citados!

Segundo Lozano, Lariviere e Gingras (2012), a continuar esta tendência, o uso do Fator de Impacto como medida da 'qualidade' dos periódicos, artigos e pesquisadores pode chegar ao fim!
Note-se, porém, que o Fator de Impacto foi inicialmente concebido para avaliar o impacto de periódicos como um todo. A extensão do FI para avaliação da 'qualidade' de artigos individuais, pesquisadores ou grupos de pesquisa é uma clara distorção.
O fator h foi criado pelo físico argentino Jorge E. Hirsch (HIRSCH, 2005). Ao contrário do Fator de Impacto, concebido para avaliar o impacto de periódicos como um todo, o fator h pretende quantificar o impacto de pesquisadores individualmente.
Segundo a definição de Hirsch (2005),
Um autor terá um índice h se h de seus artigos publicados tiverem pelo menos h citações cada.

Assim, se um pesquisador tem 10 trabalhos, com 8, 6, 5, 4, 2, 1, 1, 0, 0 e 0 citações, respectivamente, seu índice h terá valor 4.
Para saber seu índice h, calcule-o manualmente da forma acima, ou acesse sua conta no Google Citações, como veremos abaixo.
É importante notar que o índice h é um valor que nunca decresce no decorrer da trajetória de um pesquisador e valoriza seu esforço científico, já que requer cada vez maior esforço para atingir valores mais altos (LIMA; VELHO; FARIA, 2012).
No entanto, o índice h não leva em conta a diferença existente nos padrões de publicação e práticas de citação entre as Ciências Naturais e as Sociais, conforme apontado pelo estudo de Archambault et al. (2006 apud LIMA; VELHO; FARIA, 2012). Assim, por exemplo, as disciplinas Física e Genética apresentam valores semelhantes de índice h, enquanto que a disciplina Sociologia possui uma cultura acadêmica distinta, dando preferencia aos livros e outros documentos no processo de publicação, e, por isso, apresenta valores de índice h quase nulos no Brasil (LIMA; VELHO; FARIA, 2012).
Da mesma forma, o índice h não discrimina as citações das autocitações, as quais distorcem seu cálculo.
Apesar disso, segundo Lima, Velho, Faria (2012), o índice h tem sido, paulatina, mas sistematicamente, apropriado por órgãos financiadores de pesquisa, universidades e centros de pesquisa no mundo inteiro como critério para a promoção funcional de pesquisadores e avanço dos mesmos na carreira científica. No Brasil, algumas fundações estaduais de amparo à pesquisa (FAPs), pelo CNPq e pela CAPES, como critério para alocação de vários recursos e benefícios, tais como as bolsas de produtividade científica concedidas pelo CNPq.
Atualmente, a 'qualidade' dos periódicos é avaliada anualmente pela CAPES, Coordenadoria para o Aperfeiçoamento do Pessoal do Ensino Superior, por critérios própios a cada área do conhecimento. em estratos, desde A1, o mais elevado, a A2, B1, B2, B3, B4, B5 e C. Uma lista completa dos periódicos, com suas respectivas classificações pode ser encontrada no site WebQualis.
A figura abaixo mostra a distribuição de periódicos na área Ensino segundo os estratos.

Por outro lado, para a CAPES, um mesmo trabalho pontuará mais ou menos, dependendo da classificação do periódico em que foi publicado, conforme a tabela abaixo.
| Pesos | |
| A1 | 100% |
| A2 | 85% |
| B1 | 75% |
| B2 | 50% |
| B3 | 20% |
| B4 | 10% |
| B5 | 5% |
| C | 0% |
Pesos dos periódicos no triênio 2007-2009.
Isto quer dizer que 4 trabalhos em periódicos B3 valem menos do que um único trabalho publicado num periódico A1, enquanto que 10 trabalhos em periódicos do estrato C não pontuam absolutamente nada - é o mesmo que não se tivesse publicado nada durante o período!
Desta forma, não é mais suficiente publicar; é uma questão de sobrevivência científica publicar em periódicos 'de qualidade'.
No entanto os critérios de avaliação da 'qualidade' dos periódicos estão mudando. Em algumas áreas, essa 'qualidade' já é mensurada por critérios bibliométricos, seja pelo Fator de Impacto ou pelo índice h.
Como exemplo, a tabela abaixo exibe os critérios utilizados no triênio 2007-2009 para a classificação dos periódicos na área de Engenharia:
| Critérios | |
| A1 | FI>0,9 |
| A2 | 0,5<FI<0,9 |
| B1 | 0,3<FI<0,5 |
| B2 | 0<FI<0,3 ou Scielo |
| B3 | Periódicos de Associações e/ou Q>6 |
| B4 | Sem FI e 3<Q<6 |
| B5 | Sem FI e Q<3, Local |
| C | Não indexado |
Critérios
de estratificação dos
periódicos da área de Engenharia
no triênio 2007-2009.
Há uma forte tendência para que na nossa área 'Ensino' isso também ocorra, ou seja, a 'qualidade' do periódico seja medida pela frequência com que os artigos aí publicados são citados em outros trabalhos.
Portanto, é importante começarmos desde já a cuidar que nossos trabalhos sejam, não só publicados, mas também citados, muito citados.
Não há, além da qualidade intrínseca do trabalho, como garantir que um trabalho seja citado. Todavia, quanto mais ele for lido, maiores as chances de que seja citado. E, para que seja lido, é importante que seja encontrado pelos seus leitores.
Hoje, com muitos periódicos tornando-se disponíveis online, ficou muito mais fácil para nossos trabalhos serem localizados, lidos e citados. Porém, ter seu artigo disponível na Internet, mesmo que no site de um periódico, não quer dizer que ele vai ser lido, a menos que esse periódico tenha uma procura muito grande e um site muito visitado, o que , em geral, não é o caso.
Há uma enorme diferença entre estar online e ser encontrado. Todos que já construíram sites sabem disso: presença online não produz automaticamente visitas no site. Muitas empresas de caráter duvidoso oferecem soluções 'mágicas' para atrair visitas.
Portanto, devemos tomar a iniciativa nós mesmos de divulgar nossos trabalho online, fazer nosso próprio marketing pessoal.
Vale lembrar, porém, que enviar mala direta para milhões de pessoas desconhecidas, além de inútil, é ilegal!

Três ferramentas úteis para aumentar a visibilidade de nossos trabalhos são os sites
O Google Citações fica dentro do Google Acadêmico (Google Scholar). É gratuito e, para ter acesso, basta ter uma conta no Google (Gmail, YouTube, Blogger, Google+, Google Play, Google Drive, etc.).

Como o perfil no Google Citações é construído a partir da conta no Google e pelas buscas autmáticas do Google Acadêmico, possivelmente todos os autores de trabalhos que estão disponibilizados online e têm conta no Google já devem ter um perfil lá! Vale a pena acessá-lo e corrigir/completar os dados do perfil.
Para cada trabalho listado, aparece a indicação de quantos trabalhos o Google Acadêmico encontrou que o citam! Para descobrir quais trabalhos o citam, basta clicar no link do nome do trabalho,

e, na nova janela, clicar no link 'Citado por'.

Abre, então, uma página do Google Acadêmico com todos os documentos que ele encontrou que citam o seu trabalho. Na lateral esquerda, há, ainda várias opções de personalização da lista, por período, por critério, etc. e a opção de criar um 'Alerta do Google' para que ele automaticamente lhe mande um aviso por e-mail quando encontrar uma nova citação ao seu trabalho!
Na página de perfil aparecem também várias métricas, tais como o número total de citações, o número de citações nos 3 últimos anos e um gráfico de barras que permite analilsar a evolução do número anual de citações. Até o índice h, de que falamos acima, já aparece calculado!
Em seguida, é importante 'ajudar' o Google, já que nem ele consegue (ainda) localizar e identificar todos nossos trabalhos online. Basta ir ao menu 'Ações', clicar na aba 'Adicionar'

preencher o campo com o nome do trabalho faltante e clicar no botão 'Pesquisar artigos'.

Caso o Google Acadêmico não consiga encontrar o trabalho, clique no link 'Adicionar artigo manualmente'

preencha os campos correspondentes e salve a inclusão.
À semelhança do Google Citações, o ReseachGate apresenta um perfil do pesquisador, com a lista de trabalhos e número de citações.

No entanto, ao contrário do Google Citações, no ReseachGate, o processo não é automático: o ReseachGate tem reduzida capacidade de localizar seus trabalhos e citações. Basicamente, é o utilizador que deve abastecer seu perfil com esses dados.
Por outro lado, o ReseachGate tem uma característica mais próxima de rede social do que o Google Citações. Há uma ênfase em 'seguir' autores de trabalhos com temática de interesse. Ele até envia alertas por e-mail quando um pesquisador 'seguido' publica um novo trabalho.

Também envia avisos quando um co-autor se inscreve no ResearcGate, quando alguém começa a 'segui-lo', quando ele encontra trabalhos com temáticas afins às suas publicações, etc.
Esse aspecto 'social' incentiva a partilha e leitura de trabalhos de outros pesquisadores, o que pode incentivar a citação.
O site Academia.edu

Tal como no ReseachGate, no Academia.edu o processo não é automático e o utilizador tem abastecer seu perfil com esses dados. Da mesma forma, o Academia.edu também tem uma característica mais próxima de rede social, com ênfase em 'seguir' autores de trabalhos com temática de interesse e envio de alertas por e-mail quando um pesquisador 'seguido' publica um novo trabalho, métricas de visualização e download, etc.

Naturalmente, em quanto mais lugares seus trabalhos forem disponibilizados, maior sua visibilidade no Google e no Google Acadêmico, maior a chance de alguém lê-lo e maior a chance de ser citado.
Como diz Lichtfouse, antes, o pesquisador consultava periódico por periódico da sua área disponível na biblioteca para sua revisão bibliográfica. Hoje, a Internet põe milhares de periódicos e milhões de artigos ao seu alcance e ele pesquisa a partir do seu próprio computador, por meio de palavras-chave (LICHTFOUSE, 2013, p. 18).
Agora, o processo consiste em
Este processo em duas etapas significa que o título e o resumo têm um papel chave em fazer o artigo ser encontrado pelo leitor (LICHTFOUSE, 2013, pp. 18–19).
Segundo Lichtfouse,
“Para garantir impacto, seu resultado principal deve aparecer pelo menos em três lugares no artigo: no resumo, na discussão dos resultados e na conclusão. Será melhor ainda se puder ser destacado também no título.”
“Não basta afirmar a novidade do seu resultado: ela tem de ser demonstrada através de uma comparação, desde o resumo até as conclusões, suportada pela bibliografia, entre o conhecimento existente e seu proposto novo resultado. Isso só será possível se ambos, resultados anteriores e novos resultados, estiverem claramente identificados e discutidos ao longo do artigo” (LICHTFOUSE, 2013, pp. 16–17).

Na verdade, se as palavras-chave, o título e o resumo não forem bem escolhidos, o trabalho pode simplesmente nem aparecer nas primeiras páginas da lista de resultados.
Assim, seria muito interessante garantir que nossos artigos fossem encontrados mais frequentemente, por forma a garantir maior número de leitores, e, consequentemente, de trabalhos que o citem.
A escolha das palavras-chave de um artigo é um procedimento aparentemente trivial mas que, em função da nossa realidade atual de buscas na Internet e das exigências crescentes de produtividade científica, merece ser tratado com profissionalismo.
Segundo Lichtfouse,
“Devido à mudança do papel para o computador, muitos títulos e resumos não são adaptados para os motores de busca, tais como o Google e o Google Acadêmico” (LICHTFOUSE, 2013, p. 3).
Veja-se, por exemplo, no site da gigante Wiley-Blackwell, esta página com instruções específicas de como otimizar um artigo para os motores de busca como o Google.

Otimizar o seu artigo para motores de busca vai aumentar muito a sua chance de ser visto e/ou citado em outro trabalho. Os índices de citação já figuram em muitas áreas como uma medida do valor de um artigo; há evidências de que as visualizações/downloads do artigo também estão começando a contar da mesma forma. As áreas cruciais para a otimização são o resumo e o título de seu artigo, que estão disponíveis livremente para todos on-line.
O exemplo a seguir, de Título e Resumo bem construídos em torno das palavras-chave, está em inglês mas é bem compreensível.

Vê-se que as palavras-chave genocídio, consciência, Holocausto e Austrália aparecem no título e várias vezes durante o Resumo. Segundo a informação apresentada, este artigo aparece em 1ª posição no Google nas buscas com aquelas palavras-chave. Isso, com certeza o faz mais lido e, provavelmente, mais citado.
A figura recorda muito outra da aula anterior:

o que demonstra a importância da utilização do Vê Epistemológico de Gowin na estruração consistente de um trabalho acadêmico.
Felizmente, o Google oferece uma ferramenta gratuita, embora pouco conhecida, o GoogleAdwords. Trata-se, na verdade, de uma ferramenta de otimização de resultados para anunciantes, mas ela pode fazer maravilhas por esta nossa necessidade de aumentar o número de leitores de nossos trabalhos.
É um sistema que nos informa as frequências mensais de busca de palavras-chave no Google. Naturalmente, a idéia é que, se pudermos afinar as palavras-chave dos nossos trabalhos com as palavras-chave mais buscadas na Internet, eles serão mais encontrados do que com outras palavras-chave.
Para um exemplo real, um aluno de uma turma anterior desta disciplina estava utilizando 'educação inclusiva' como uma das palavras-chave de seu trabalho.
Introduzimos essa palavra-chave no campo adequado e mandamos fazer a busca, conforme a figura abaixo:
Em segundos, ele retornou os seguintes resultados:

Somando-se as várias grafias diferentes, obtém-se um total de 38.900 buscas mensais da expressão 'educação inclusiva'.
No entanto, se mandarmos ordenar os resultados em ordem decrescente, obtemos uma surpresa:

Observe-se que a palavra-chave 'inclusão' teve 246.000 buscas mensais, muitas vezes mais do que a expressão 'educação inclusiva', e que a expressão 'educação especial' teve 74.000 buscas mensais! Por outro lado, veja-se que a palavra 'escola', embora tenha um número de resultados ainda maior, é muito genérica em comparação com o tema do seu trabalho.
Com estes dados, o aluno decidiu mudar suas palavras-chave, substituindo 'educação inclusiva' por 'inclusão' e 'educação especial', ambas também relevantes para seu trabalho, mas que deverão posicionar seu trabalho muito melhor nas páginas de resultados de buscas do Google, levando a maior número de leitores, possivelmente a um maior número de citações e, espera-se, a um maior 'impacto' na comunidade científica!
Acredito que qualquer trabalho científico de qualidade pode aumentar significativamente seu impacto através destas técnicas.
Voltar à Parte Anterior
Voltar a Minhas Aulas.
Voltar ao começo desta página
Voltar à página principal de Física Interessante